合作客戶/
拜耳公司 |
同濟大學 |
聯合大學 |
美國保潔 |
美國強生 |
瑞士羅氏 |
相關新聞Info
-
> 電場處理水浮力、及與普通水的表面張力系數測定
> 乳化劑——水和油之間的調和劑
> 高鹽油藏下兩性/陰離子表面活性劑協同獲得油水超低界面張力的方法(三)
> 不同干燥方式對蛋清蛋白功能特性、溶解度、接觸角、表面張力的影響(四)
> 強紫外線輻射對減縮劑抑制水泥石干縮變形效果研究(二)
> 脫模劑配方中加入石油磺酸鈉,可降低液體表面張力、減少界面形成
> LiF-CaF?-Yb?O?熔鹽體系表面張力的測定及其對Ni-Yb合金電解的指導意義(一)
> 表面活性劑在化學清洗中的應用及研究進展
> 超微量天平應用實例:氧化焙燒除硒火試金重量法測定粗硒中金、銀含量
> 乙醇胺與勝坨油田坨28區塊原油5類活性組分模擬油的動態界面張力(一)
推薦新聞Info
-
> 泡沫酸液表面張力調控與無機礦物溶蝕解堵特性研究(三)
> 泡沫酸液表面張力調控與無機礦物溶蝕解堵特性研究(二)
> 泡沫酸液表面張力調控與無機礦物溶蝕解堵特性研究(一)
> 烷基化碳量子點表面活性劑合成改性、表面張力、穩泡及乳化性能(三)
> 烷基化碳量子點表面活性劑合成改性、表面張力、穩泡及乳化性能(二)
> 烷基化碳量子點表面活性劑合成改性、表面張力、穩泡及乳化性能(一)
> pH調控豬血漿蛋白納米顆粒的界面吸附行為與乳液穩定機制(五)
> pH調控豬血漿蛋白納米顆粒的界面吸附行為與乳液穩定機制(四)
> pH調控下豬血漿蛋白熱誘導納米顆粒的制備、表征及其穩定Pickering乳液性能(三)
> pH調控下豬血漿蛋白熱誘導納米顆粒的制備、表征及其穩定Pickering乳液性能(二)
覆蓋有疏水網的開放管道液體輸運穩定性研究(上)
來源:光學精密工程 瀏覽 593 次 發布時間:2025-09-17
摘要:考慮完全開放的微管道中液體輸運不穩定,不利于生物氣溶膠采樣和監測的自動化集成,本文提出了用覆蓋有疏水網的開放微管道來實現液體的可靠輸運。通過理論分析得到了該微管道液體輸運特性的估計公式,并用水作為試驗介質對其輸運特性進行了實驗分析。分析實驗顯示,開放微管道中液體輸運的穩定性依賴于柵網特性、液體性質和流動速度、管道尺寸和表面特性。柵網表面疏水性越好,孔徑越小,微管道中液體的最大許可壓強就越大,液體輸運就會越穩定。對于孔徑50μm、表面涂覆有Teflon的柵網,最大許可壓強可達2000Pa。管道中的最大許可流速取決于管道尺寸和最大許可壓強;對于較淺、較長的管道,最大許可流速較小。當液體流過干的疏水管道時,液體的表面張力會阻礙流動,管道截面尺寸越小,表面張力的阻礙效果越明顯。
1引言
越來越多的研究表明,接觸生物氣溶膠會給身體帶來一系列的不良反應,嚴重的甚至可能危及生命,所以,在工作場所和家庭中實時監測空氣中的生物氣溶膠狀況十分必要。為了實現對氣溶膠的實時監測,對其進行高效采集是基礎目前已開發出多種生物氣溶膠采樣方法,包括過濾、固體撞擊、液體沖擊和靜電沉積等。為了實現實時和自動化檢測,可采用以液體為采樣介質的氣溶膠到水溶膠采樣的技術。
在氣溶膠采樣過程中,為了將空氣中的生物質采集到液體中,需要使用開放的管道。開放管道或表面的液體輸運可以利用重力、熱梯度驅動、電潤濕等方法。Han等人利用靜電沉積將微生物收集到干燥的疏水凹槽中,然后傾斜基底,讓一個液滴在重力作用下滾過疏水凹槽,從而將微生物轉移到液滴中,實現氣溶膠到水溶膠的采樣;但這種采樣方法操作繁瑣,不利于采樣、檢測的自動化集成,且在長時間采樣中干燥表面會影響微生物的活性。文獻介紹了利用靜電力將微生物收集到開放的儲液池中,然后采用微泵將液體輸出進行后續檢測的方法;這種儲液池有利于保持微生物活性,但是完全開放的結構很不穩定,要求芯片在工作中必須平穩放置,否則采樣液體很容易溢出。Amar等人利用熱梯度驅動懸浮在油薄膜中的液滴,鋪展油膜的基底不需要進行圖形化處理,但是這種方法需要在液滴運行路徑鋪滿油膜,且需要可移動的熱源。文獻將正負電極制作在一片基底上,利用介質上電潤濕效應實現了開放表面的液滴輸運;但電潤濕需要復雜的電極陣列,增加了芯片復雜程度,且這些電極可能會影響氣溶膠靜電收集芯片的電場分布。
Meng等人在用于微流體芯片的排氣結構中,制作了疏水孔用于氣體排出,同時可以防止液體溢出。其第一代排氣結構是在硅片上制作孔徑為50μm的通孔,并利用Teflon制作疏水涂層,文中沒有實測的最大許可背壓,也沒有討論其輸運特性,且這種結構加工成本高。其第二代排氣結構利用聚丙烯疏水多孔膜覆蓋溝道,測得的最大許可背壓達2.4x10?Pa,但并無對其輸運特性的討論,而且這種疏水膜孔徑不到3μm,且不是直通孔,無法用于氣溶膠采集。本文面向氣溶膠采樣,通過在開放管道表面覆蓋疏水網,實現了可靠的液體輸運,并對其液體輸運特性進行了理論和實驗分析。
2開放管道設計
2.1開放管道原理
氣溶膠到水溶膠的采樣,一方面要求管道是開放的,以保證空氣中的生物質能夠進入液體;另一方面為了避免液體在流動過程中外泄,管道必須封閉。本文設計了一種開放的管道,其頂部開放面覆蓋有疏水柵網,如圖1所示。疏水柵網孔中的水在表面張力的作用下會形成一個彎月面,阻止水從柵網孔中流出。這樣空氣中的生物質就能通過柵網孔進入管道,同時管道中的液體可以穩定流動而不會外溢。
為了實現液體的可靠輸運,管道中液體的最大壓強必須小于疏水網的最大許可壓強。最大許可壓強取決于疏水網表面特性和液體性質。而管道中液體的最大壓強由管道尺寸和管道表面特性以及液體在管道中的流動速度決定。為了表征開放管道中的液體輸運特性,這里引人3個壓強:最大許可壓強Pb,毛細壓強Pc和管道中的壓降Pf。最大許可壓強指柵網孔中由表面張力形成的液體彎月面所能承受的最大壓差,與柵網表面特性、柵網孔徑及液體表面張力系數有關。當液體流過千燥的疏水微管道時,表面張力會阻礙液體的流動,液體前端彎月面產生的壓差定義為毛細壓強,毛細壓強與管道尺寸、表面特性及液體表面張力系數有關。此外,當液體以一定速度流過管道時,由于液體黏性導致的沿程水頭損失必須予以考慮,也就是管道中的壓降Pf。
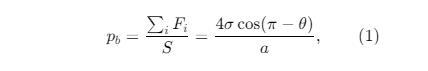
2.2估算最大許可壓強Pb
根據液體表面張力理論,對于一個有方孔的柵網,Pb可以按照下式計算:
其中:sigma為液體表面張力,a為柵網方孔的邊長,theta為液體對于柵網的接觸角。計算中假設水溫為20^{circ}C,此時水的表面張力系數sigma=0.0728~N/m(后面計算中都采用此參數)。最大許可壓強Pb和孔邊長的關系如圖2所示,可以看到采用疏水性好、網孔小的柵網可以得到更大的Pb。





